传统晕动病评估长期依赖主观量表,存在个体差异大、一致性不足的局限性。第四军事医科大学与延安大学联合研究团队在国际期刊《Frontiers in Neurology》上发表的晕动病易感性评估研究中,创新性地采用三恩时TS7600分光测色仪,将主观的“脸色变化”转化为客观数据,为晕动病评估提供了全新的技术路径。

TS7600分光测色仪采用CIE-L*a*b*国际标准颜色系统,通过测量皮肤表面的L*值(明度)和a*值(红绿度),将人眼主观感知的“脸色苍白”这一晕动病典型体征转化为精确的数字指标。
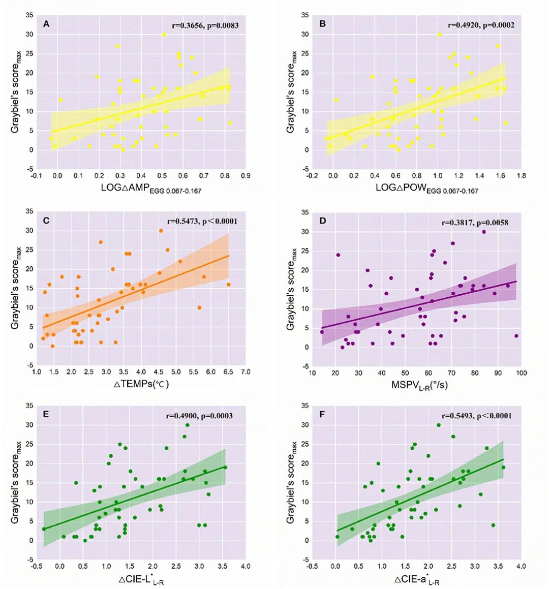
研究显示,当晕动病发作时,参与者脸颊皮肤的L*值显著上升(代表肤色亮度增加),a*值明显下降(反映红色成分减少),这些客观数据与晕动病严重程度呈现显著相关性。

TS7600具备的高精度测量能力(重复性精度ΔE≤0.03,台间差ΔE≤0.15)确保了数据的准确性和可重复性,有效消除了人眼观察因光线、个体差异等因素带来的误差。
在研究过程中,仪器测量的肤色数据与胃电活动、皮肤温度、眼震等其他生理参数共同构成机器学习模型的数据特征,为构建多维度的晕动病易感性评估模型提供了坚实支撑。

TS7600的便携式设计使其不仅适用于实验室环境,更可扩展至驾驶舱、船舱等实际场景中进行现场数据采集,为晕动病的现场筛查提供了可能。
这项技术突破不仅推动晕动病评估向标准化、客观化发展,更有望针对飞行员、宇航员等高危职业人员开发出科学的筛查标准,为特殊岗位人员选拔和健康管理提供技术支持。
三恩时TS7600分光测色仪在晕动病研究中的成功应用,展现了精密测量仪器在医学研究中的重要价值,为客观评估生理状态提供了创新性的解决方案。
YS6060是3nh公司独立开发的完全拥有自主知识产权的国产台式光栅分光测色仪, TFT真彩7inch电容触摸屏、全光源、照明方式:反射D/8、透射D/0(包含UV/排除UV测量) 测量颜色准确稳定、存储...
3nh光栅分光仪,颜色测量伴侣 YS3010、YS3020、YS3060是三恩时公司独立开发的完全拥有自主知识产权的国产光栅分光测色仪,仪器稳定、测量颜色准确、功能强大,在便携式光栅分光测色仪...
光栅分光测色仪YS4580简介 YS4580高精度分光测色仪采用符合CIE No.15的45/0(45度环形照明,0度接收)几何光学结构,采用凹面光栅分光方式,可准确测量样品反射率及各种色度数据。仪器...
光栅分光密度仪YD5050简介 YD5050是3nh公司独立开发的完全拥有自主知识产权的45/0几何光学结构的国产光栅分光密度仪,完全符合标准ISO 5-4,支持ISO 13655标准规定的MOM1,M2M3测试条件,可...
全功能色差仪NR60CP 产品特点 product features 1.8mm、4mm双口径自由切换,测量大平面内凹面样品更加简单; 2.更高测量稳定性和准确性,E*ab0.03,双口径测试数据均可通过国家计量测试认证...
YG268三角度高精度光泽度计是3nh公司独立开发的完全拥有自主知识产权的产品,是参照国际标准1502813和中国国家标准GB/T9754设计制造的光泽度测量仪器具有自动检查校正标准板的功能...
DOHO D60(4)标准光源对色灯箱可以据用户的需求,可为用户提供国际照明会(CIE)所认可的各种标准光源,符合所有主要的视觉评价,包括AS,ASTM,BSI,DIN和IS0国际标准,如:ISO 3664 、ISO 3668、ISO 13076、ISO 23603、AATCC EP9、ASTM D1729、DIN 6173、CIE S025/E、BS 950 Pt.2等;...
钢板底座标准光源对色灯箱P60+S可以据用户的需求,可为用户提供国际照明会(CIE)所认可的各种标准光源,符合所有主要的视觉评价,包括AS,ASTM,BSI,DIN和IS0国际标准,如:ISO 3664 、ISO 3668、ISO 13076、ISO 23603、AATCC EP9、ASTM D1729、DIN 6173、CIE S025/E、BS 950 Pt.2等;...
YT4200-P3 分体铁基涂层测厚仪简介 YT4200是3nh公司制造的国产涂层测厚仪,能快速、准确的无损检测各种涂覆在磁性金属基底上的非磁性涂层厚度。仪器完全符合ISO 2178、GB/T 4956、ASTM B49...
Copyright © 2025 深圳市三恩驰科技有限公司 版权所有 地址:广州市增城区低碳总部园智能制造中心B33栋6、7、8层 备案号:粤ICP备13073186号